Loading worksheets...
Grade 6 • Maths
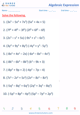
Enhance your Grade 6 Math skills with our Multiply Expressions worksheets! Practice multiplying algebraic expressions and improve your understanding of variables and coefficients. These worksheets are aligned with the curriculum, helping students grasp the concept of multiplying expressions with ease. Start solving now to ace your Math class!
Enhance your Grade 6 Math skills with our Multiply Expressions worksheets! Practice multiplying algebraic expressions and improve your understanding of variables and coefficients. These worksheets are aligned with the curriculum, helping students grasp the concept of multiplying expressions with ease. Start solving now to ace your Math class!
.webp?disposition=inline)
.webp?disposition=inline)
.webp?disposition=inline)
.webp?disposition=inline)
.webp?disposition=inline)